11758 CCW
출처: https://www.acmicpc.net/problem/11758

문제 이해

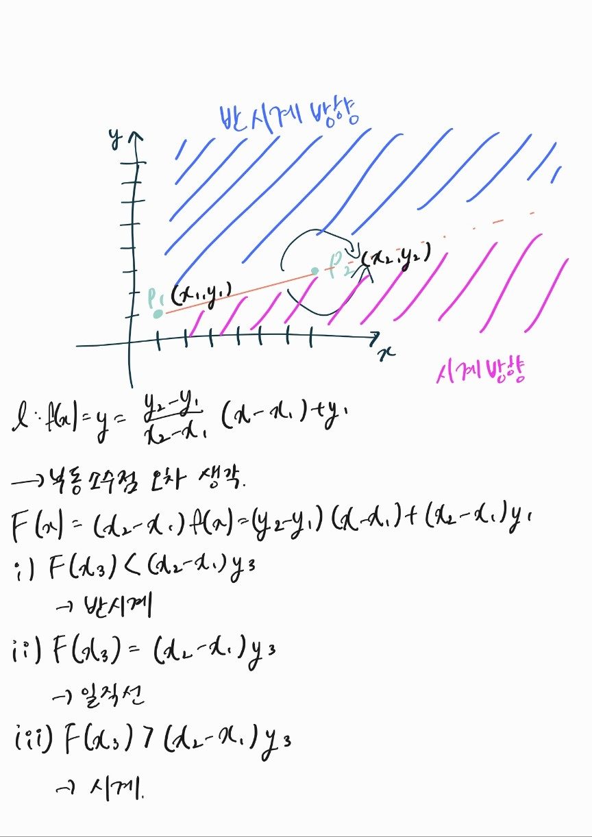
P1 -> P2 -> P3 순서로 화살표를 그리면 나오는 방향으로 시계 방향, 반시계 방향을 판단하는 것 같다

선분 P1P2를 직선으로 쭉 늘렸을 때 P3의 y좌표가 위쪽에 위치할 경우 반시계 방향, 아래에 위치할 경우 시계 방향으로 판단할 수 있다.
그렇게 P1과 P2로 방정식을 구하게 되면 부동소수점의 한계로 오차가 생기게 되므로 양쪽에 P2의 x좌표 - P1의 x좌표를 곱해 나눗셈을 제거한다.
풀이
from sys import stdin
from typing import *
input = stdin.readline
P1: List[int] = list(map(int, input().split())) # [x1, y1]
P2: List[int] = list(map(int, input().split())) # [x2, y2]
P3: List[int] = list(map(int, input().split())) # [x3, y3]
point: int = (P2[1] - P1[1]) * (P3[0] - P1[0]) + (P2[0] - P1[0]) * P1[1]
direct: int
if point > (P2[0] - P1[0]) * P3[1]:
direct = -1
elif point == (P2[0] - P1[0]) * P3[1]:
direct = 0
else:
direct = 1
print(direct)
Comments